Low LO Phase Noise Requirements in HF Transceivers : JA2GXU

HF Transceiver Comparisons (Includes LO or Clock Phase noise comparisons) : JA2GXU

published:2021-09-09 updated:2026-04-02
Amature Radio

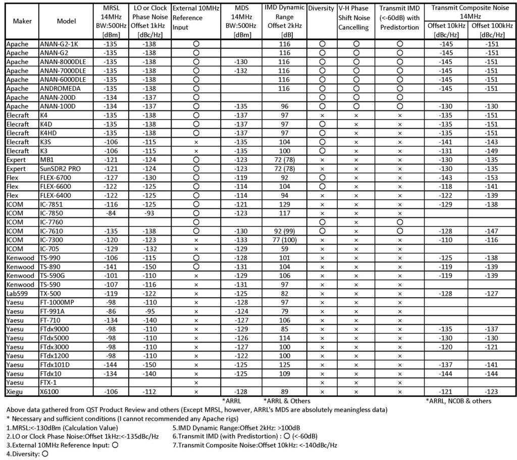
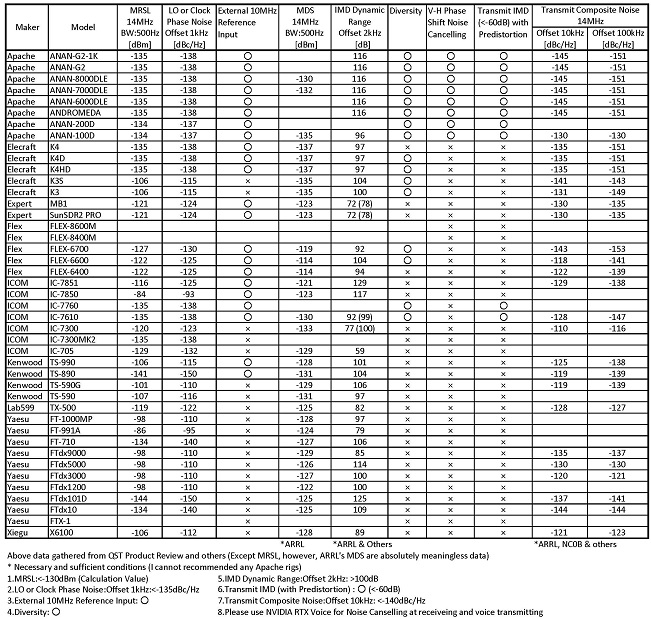
Table 1. HF Transceiver Comparisons (Includes LO or Clock phase noise comparisons)

If you have a question please E-mail to ja2gxu@cpost.plala.or.jp (@ → @)

Post navigation

Desired S1 Signal Level and LO Phase Noise Requirements in HF Transceivers : JA2GXU

Powered by WordPress.
The Nishiki theme is Supported by AnimaGate, Inc.